Новости компании

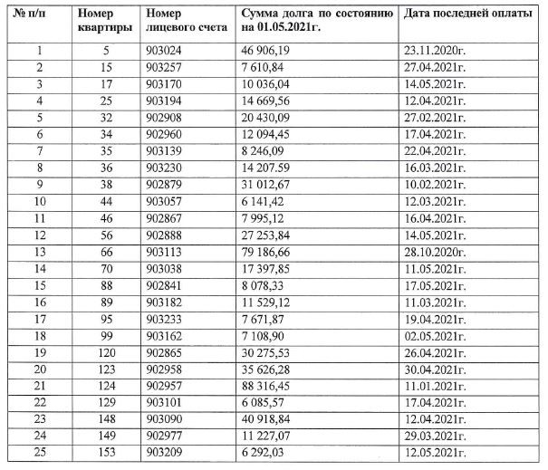
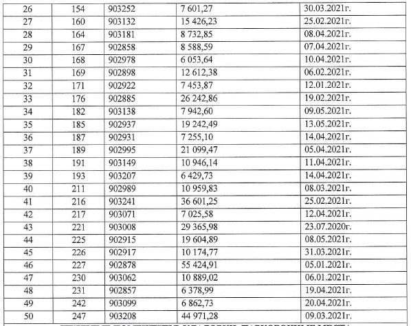
Список должников ул. Малоземельская 14А

18.05 2021

Уважаемые собственники!

Руководствуясь Постановлением Правительства РФ от 06 мая 2011 г. № 354 «О предоставлении коммунальных услуг собственникам и пользователям помещений в многоквартирных домах и жилых домов», управляющая компания уведомляет Вас о том, что в случае неполной оплаты потребителем коммунальных услуг, имеет право приостановить или ограничить предоставление коммунальных услуг. Под неполной оплатой потребителем коммунальной услуги понимается наличие у потребителя задолженности по оплате 1 коммунальной услуги в размере, превышающем сумму 2 месячных размеров платы за коммунальную услугу, исчисленных исходя из норматива потребления коммунальной услуги независимо от наличия или отсутствия индивидуального или общего (квартирного) прибора учета и тарифа на соответствующий вид коммунального ресурса, действующих на день ограничения предоставления коммунальной услуги.

По состоянию на 01.05.2021 года сформировалась задолженность за оплату коммунальных услуг следующих помещений:
Список должников ул.Малоземельская 14А



Собственникам указанных в списке помещений в срок до 01.06.2021 года необходимо оплатить образовавшуюся задолженность в полном объеме.
В случае неисполнения настоящего предписания ООО «КОВЧЕГ» в соответствии с действующим законодательством Российской Федерации вправе применить следующие меры:
  1. приостановление предоставления коммунальных услуг;
  2.  обращение в суд для принудительного взыскания задолженности (с возложением на ответчика обязанности по оплате всех судебных расходов).
По вопросам погашения задолженности Вам необходимо обратиться по адресу: г. Новороссийск, Анапское шоссе, д. 41-Е, пом. 3 (согласовать время приёма по телефону 8 (8617) 72-92-72 или по электронной почте yk-kovcheg@mail.ru).
Также Управляющая компания доводит до сведения собственников, что возобновление предоставления коммунальных услуг производится в течение 2 календарных дней с момента погашения задолженности и оплаты расходов исполнителя (управляющей компании) по введению приостановления и возобновлению предоставления коммунальной услуги.
Назад

Для улучшения работы сайта и его взаимодействие с пользователями мы используем файлы cookie. Продолжая пользоваться сайтом, вы соглашаетесь с использованием файлов cookie. Вы всегда можете отключить файлы cookie в настройках браузера. Оператор использует информацию, содержащуюся в файлах cookie в течение сроков и на условиях, указанных в настоящей Политике